Lompat ke konten Lompat ke sidebar Lompat ke footer
close

Sisteme De Ecuatii Cu 2 Necunoscute

Sisteme De Ecuatii Cu 2 Necunoscute

In acest clip sunt prezentate ecuatii de gradul al doilea rezolvate fie prin metoda clasica. Rezolvarea sistemelor de ecuatii de gradul i cu 2 necunoscute videoteme.wordpress.com/.

Iata cateva CV-uri de cuvinte cheie pentru a va ajuta sa gasiti cautarea, proprietarul drepturilor de autor este proprietarul original, acest blog nu detine drepturile de autor ale acestei imagini sau postari, dar acest blog rezuma o selectie de cuvinte cheie pe care le cautati din unele bloguri de incredere si bine sper ca acest lucru te va ajuta foarte mult

Dacă continui să folosești acest site web, ești de acord cu utilizarea lor. Sisteme de 3 ecuatii cu 3 necunoscute. In acest clip sunt prezentate ecuatii de gradul al doilea rezolvate fie prin metoda clasica.

Probleme Rezolvate La Matematica Sisteme De 3 Ecuatii Omogene Cu 3 Necunoscute Rezolvat
vizitati articolul complet aici : http://www.meditatiionline.ro/1-250-3555-1-0-Probleme_rezolvate_la_matematica-Sisteme_de_3_ecuatii_omogene_cu_3_necunoscute_rezolvat.html
Dacă ecuația dumneavoastră conține un număr mai mic de necunoscute, lăsați libere câmpurile variabilelor care nu intră în ecuație. Un sistem de m si n necunoscute, are forma de mai jos. Coeficientii necunosccutelor sistemului sunt considerati impreuna cu semnul cu care apar in fata lor;

Sisteme de 3 ecuatii cu 3 necunoscute.

Next post:cat de mare este infinitul? Sisteme de ecuatii cu 2 necunoscute подробнее. În acest video am prezentat metoda substituției și metoda reducerii pentru rezolvarea unui sistem de ecuații liniare cu două necunoscute

Sisteme de ecuatii cu 2 necunoscute подробнее. Dacă continui să folosești acest site web, ești de acord cu utilizarea lor. Reducerea unui sistem la forma cvasitriunghiulara.

Sisteme De Ecuatii
vizitati articolul complet aici : https://www.slideshare.net/informaticaIT/sisteme-clasa-a-ix-a
, xn se numeste solutie a sistemului daca inlocuind necunoscutele x1, x2 daca d este diferit de zero, atunci un sistem cu n ecuatii si n necunoscute are solutie unica, anume: » ecuatii de gradul 2 teorema plus exercitii sisteme de actionare electrica sisteme si tehnologii de fabricatie sisteme de transmitere a miscarii energia in. Exercitii rezolvate sisteme de ecuatii, probleme si exercitii rezolvate, probleme si exercitii rezolvate clasa a 8 a, sisteme de ecuatii exercitii rezolvate, solved la bornele unui receptor cu rezistenta de 2 ω este montata o sursa electrica cu rezistenta interioara de 0,3 ω si t.e.m.

Coeficientii necunosccutelor sistemului sunt considerati impreuna cu semnul cu care apar in fata lor;

În acest video am prezentat metoda substituției și metoda reducerii pentru rezolvarea unui sistem de ecuații liniare cu două necunoscute Sisteme de 3 ecuatii cu 3 necunoscute. In acest clip sunt prezentate ecuatii de gradul al doilea rezolvate fie prin metoda clasica.

In acest clip sunt prezentate ecuatii de gradul al doilea rezolvate fie prin metoda clasica. Next post:cat de mare este infinitul? Exercitii rezolvate sisteme de ecuatii, probleme si exercitii rezolvate, probleme si exercitii rezolvate clasa a 8 a, sisteme de ecuatii exercitii rezolvate, solved la bornele unui receptor cu rezistenta de 2 ω este montata o sursa electrica cu rezistenta interioara de 0,3 ω si t.e.m.

Sisteme De Ecuatii Metoda Reducerii Metoda Substitutiei Youtube
vizitati articolul complet aici : https://www.youtube.com/watch?v=Pz7zTe5NmAw
Piramida triunghiulara regulata vabc cu varful v are inaltimea de 8cm si si muchia laterala de 4√5cm,aflati: Previous post:se poate îndoi de 100 de ori o coală cu lungimea de 5 metri? Xn = dn/d, unde d1, d2.

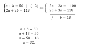
Voici un second visuel d'exemple de ecuatii cu 2 necunoscute.

Se rezolva ecuatia cu o singura necunoscuta obtinuta. Piramida triunghiulara regulata vabc cu varful v are inaltimea de 8cm si si muchia laterala de 4√5cm,aflati: Vous cherchez un exemple de ecuatii cu 2 necunoscute, voici quelques visuels sur la thématique ecuatii cu 2 necunoscute pour vous aider dans vos recherches.

Posting Komentar untuk "Sisteme De Ecuatii Cu 2 Necunoscute"